Skip to content
Instagram
Teamsters Labor Union Local 2785 Logo Teamsters Labor Union Local 2785 Logo
  • HOME
  • MEMBER SERVICES
  • BUY UNION
  • JOIN TEAMSTERS
  • CONTACT/STAFF

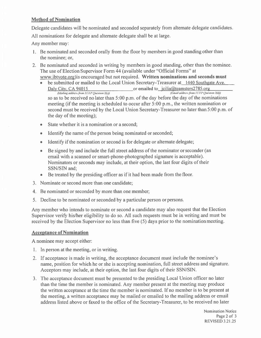
IBT Local Union 2785 Plan summary for the election of delegates and alternate delegates to the IBT Convention

  • View Larger Image
admin27852025-11-02T19:30:51+00:00September 25th, 2025|Categories: politics, Top Blog|

Share This Event!

FacebookTwitterLinkedInPinterestEmail

Categories

Event meeting News Notice Organizing Photos politics Scholarships Top Blog Uncategorized UPS UPS Contract

Recent Posts

  • JC7 Teamsters – Day at the Park – March 28, 2026
  • James R. Hoffa Scholarships Available to Member’s Children and Dependents
  • Hiring Hall new Class A positions open
  • IBT Local Union 2785 Plan summary for the election of delegates and alternate delegates to the IBT Convention
  • Harry Polland/Robert Morales Scholarship

Archives

  • January 2026
  • December 2025
  • September 2025
  • March 2025
  • February 2025
  • December 2024
  • June 2024
  • April 2024
  • February 2024
  • June 2023
  • May 2023
  • April 2023
  • March 2023
  • January 2023
  • October 2022
  • September 2022
  • July 2022
  • May 2022
  • April 2022
  • March 2022
  • October 2021
  • September 2021
  • August 2021
  • March 2021
  • January 2021
  • October 2020
  • April 2020
  • March 2020
  • January 2020
  • December 2019
  • June 2019
  • May 2019
  • April 2019
  • March 2019
  • February 2019
  • January 2019
  • December 2018
  • November 2018
  • October 2018
  • September 2018
  • August 2018
  • July 2018

Teamsters Local 2785

  • 1440 Southgate Ave.
    Suite 1
    Daly City, CA 94015

  • 415-467-0450
  • memberservices@teamsters2785.org
  • Monday - Friday: 9:00 AM - 4:30 PM

Member Services

  • Medical Benefits
  • Grievances
  • Dues
  • Retirement
  • Stewards
  • Calendars
  • Forms
  • UPS Contract
  • Picket Duty
  • Merchandise
  • Pictures

Quicklinks

  • Contact Us
  • Join Teamsters
  • Articles

Stay Informed, join our email and text list

    Are you a Member
    yesno

    © Teamsters Local Union 2785  |   All Rights Reserved   |   Powered by UNION TIDE RISING  
    Instagram
    Go to Top